Pytania i odpowiedzi

500 pytań z fizyki

Zebrane pytania i odpowiedzi do zestawu. Zbiór pytań i zadań z fizyki. Ogromna ilość pytań testowych do rozwiązania.
Ilość pytań: 234 Rozwiązywany: 71286 razy
Pytanie 61
Z działa o masie 1 tony wystrzelono pocisk o masie 1kg. Co można powiedzieć o energiach kinetycznych i pocisku i działa w chwili, gdy pocisk opuszcza lufę?
prędkości działa i pocisku w chwili wystrzału są odwrotnie proporcjonalne do ich mas, więc energia kinetyczna pocisku będzie większa, niż energia kinetyczna działa
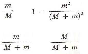
Pytanie 62
Kula o masie m uderza nieruchomą kulę o masie M i pozostaje w niej. Jaka część energii kinetycznej kuli zamieni się w energie wewnętrzną (zakładamy zderzenie idealne niesprężyste)?
M / (M + m)
Pytanie 63
Jak wskazuje rysunek, kula bilardowa 1 uderza centralnie w identyczną, lecz spoczywającą kulę 2. Jeżeli uderzenie jest doskonale sprężyste, to:
kula 1 zatrzyma się, a kula 2 zacznie się poruszać z prędkością V
Pytanie 64
W trakcie centralnego (czołowego) zderzenia dwóch doskonale niesprężystych kul, energia kinetyczna zmienia się całkowicie w ich energię wewnętrzną, jeśli mają:
równe i przeciwnie zwrócone pędy, a dowolne energie kinetyczne
Pytanie 65
W zderzeniu niesprężystym układu ciał jest:
zachowany pęd całkowity i zachowana energia całkowita układu
Pytanie 66
Wózek o masie 2m poruszający się z prędkością V zderza się ze spoczywającym wózkiem o masie 3m. Wózki te łączą się razem i poruszają się dalej z prędkością:
2/5 V
Pytanie 67
Człowiek o masie 50 kg biegnący z prędkością 5 m/s skoczył na wózek spoczywający o masie 150 kg. Jaką prędkość będzie miał wózek z człowiekiem (tarcie pomijamy)?
1,25 m/s
Pytanie 68
Które z wykresów dotyczą ruchu harmonicznego? (x – wychylenie, a – przyspieszenie, A – amplituda, t – czas)
tylko 1 i 4
Pytanie 69
Jeżeli moduł wychylenia punktu materialnego, poruszającego się ruchem harmonicznym, zmniejsza się to:
moduł jego prędkości wzrasta, a moduł przyspieszania maleje
Pytanie 70
W ruchu harmonicznym o równaniu x = 2 cos 0,4pi t okres drgań (czas t jest wyrażony w sekundach) wynosi:<br /&rt;
5 s
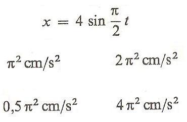
Pytanie 71
Maksymalne przyspieszenie punktu drgającego według równania x = 4 sin (pi/2) t (w którym amplitudę wyrażono w centymetrach, a czas w sekundach) wynosi:
pi^2 cm / s^2
Pytanie 72
Amplituda drgań harmonicznych jest równa 5 cm, okres zaś 1s. Maksymalna prędkość drgającego punktu wynosi:
0,314 m/s
Pytanie 73
Punkt materialny porusza się ruchem harmonijnym, przy czym okres drgań wynosi 3,14 s, amplituda 1 m. W chwili przechodzenia przez położenie równowagi jego prędkość wynosi:
2 m/s
Pytanie 74
Które z niżej podanych wielkości charakteryzujących ruch harmoniczny osiągają równocześnie maksymalne wartości bezwzględne?
wychylenie z położenia równowagi, przyspieszenie i siła
Pytanie 75
Ciało porusza się ruchem harmonicznym. Przy wychyleniu równym połowie amplitudy energia kinetyczna ciała:
jest trzy razy większa od jego energii potencjalnej
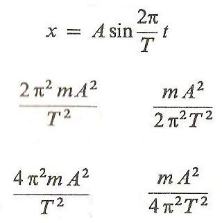
Pytanie 76
Ciało o masie m porusza się ruchem harmonicznym opisanym równaniem x = A sin (2pi/T) t. Energia całkowita (tj. suma energii kinetycznej i potencjalnej) tego ciała wynosi:
( 2pi^2 m A^2) / T^2
Pytanie 77
Na którym z wykresów przedstawiono zależność energii całkowitej E od amplitudy A dla oscylatora harmonicznego?
C
Pytanie 78
Rozciągnięcie nieodkształconej początkowo sprężyny o pewną długość wymaga wykonania określonej pracy. Dodatkowe wydłużenie tej sprężyny (przy założeniu idealnej sprężystości) o tę samą długość wymaga wykonania:
trzy razy większej pracy
Pytanie 79
Na rysunku przedstawiono zależność siły F potrzebnej do ściśnięcia sprężyny od odkształcenia sprężyny x. Praca wykonana przy ściśnięciu sprężyny o 3 cm wynosi:
0,045 J
Pytanie 80
Jeżeli dwie takie sprężyny połączymy, tak jak na rysunku i działamy siłą zwiększającą się do F, to odkształcenie układu wynosi:
6 cm

Powiązane tematy

#fizyka #zadania