Pytania i odpowiedzi

500 pytań z fizyki

Zebrane pytania i odpowiedzi do zestawu. Zbiór pytań i zadań z fizyki. Ogromna ilość pytań testowych do rozwiązania.
Ilość pytań: 234 Rozwiązywany: 71286 razy
Pytanie 41
C
Pytanie 42
B
Pytanie 43
C
Pytanie 44
B
Pytanie 45
A
Pytanie 46
A
Pytanie 47
B
Pytanie 48
C
Pytanie 49
A
Pytanie 50
B
Pytanie 51
D
Pytanie 52
C
Pytanie 53
B
Pytanie 54
A
Pytanie 55
Zakładamy, że siła potrzebna do holowania barki jest wprost proporcjonalna do prędkości. Jeżeli do holowania barki z prędkością 4 km/h jest potrzebna moc 4 kW, to moc potrzebna do holowania barki z prędkością 12 km/h wynosi:
36 kW
Pytanie 56
Na wykresie przedstawiono zależność od czasu siły działającej na ciało o masie 5 kg poruszającego się po linii prostej. W rezultacie zmiana prędkości tego ciała wynosiła:
0,8 m/s
Pytanie 57
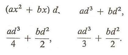
Rozciągając pewną taśmę kauczukową o x stwierdzono, że siła sprężystości ma wartość F = ax^2 + bx (a i b są stałymi). Minimalna praca potrzebna do rozciągnięcia tej taśmy od x = 0 do x = d wynosi:
(ad^3 / 3) + (bd^2 / 2)
Pytanie 58
Wypadkowa siła działająca na cząstkę jest dana równaniem F= F0e^-kx (gdzie k&rt;0). Jeżeli cząstka ma prędkość równa zeru dla x = 0 , to maksymalna energia kinetyczna, którą cząstka osiągnie poruszając się wzdłuż osi x wynosi:
F0 / k
Pytanie 59
Czy układ ciał zachowa swój pęd (całkowity), jeśli będzie nań działać stała siła zewnętrzna?
układ ten nie zachowa swojego pędu
Pytanie 60
Z działa o masie 1 tony wystrzelono pocisk o masie 1 kg. Energia kinetyczna odrzutu działa w chwili, gdy pocisk opuszcza lufę z prędkością 400 m/s wynosi:
80 J

Powiązane tematy

#fizyka #zadania