Pytania i odpowiedzi

500 pytań z fizyki

Zebrane pytania i odpowiedzi do zestawu. Zbiór pytań i zadań z fizyki. Ogromna ilość pytań testowych do rozwiązania.
Ilość pytań: 234 Rozwiązywany: 71289 razy
Pytanie 221
Pole elektryczne jest wytwarzane przez dodatni ładunek umieszczony na metalowej kulce, izolowanej od otoczenia. Na przeniesienie innego dodatniego ładunku q z bardzo dużej odległości od punktu A odległego 1 m od kulki konieczne było wykonanie pracy W. Ile wynosiłaby sumaryczna praca konieczna do przeniesienia ujemnego ładunku o identycznej wartości q z punktu A najpierw 2 m wzdłuż promienia, a następnie 2 m wzdłuż łuku okręgu otaczającego kulkę do punktu C (patrz rysunek)?
2/3 W
Pytanie 222
W której konfiguracji natężenie i potencjał w początku układu równa się zeru?
D
Pytanie 223
W której konfiguracji natężenie pola w początku układu jest równe zeru, a potencjał nie jest równy zeru?
C
Pytanie 224
Na którym z wykresów najlepiej przedstawiono zależność natężenia pola elektrycznego jako funkcji x?
D
Pytanie 225
Na którym z wykresów najlepiej przedstawiono potencjał elektryczny jako funkcję x?
B
Pytanie 226
Dwie metalowe kulki o masach m1 i m2 i jednakowych promieniach zawieszono na jedwabnych niciach o jednakowej długości l. Kulki naładowano odpowiednio jednoimiennymi ładunkami q1 i q1. Jeżeli w stanie równowagi nici tworzą z pionem równe kąty (rysunek obok), to możemy wnioskować, że:<br /&rt;<br /&rt;<br /&rt;<br /&rt;<br /&rt;<br /&rt;
masy obu kulek są równe
Pytanie 227
Jaki jest wymiar pojemności elektrycznej w jednostkach podstawowych układu SI?
(A^2 * s^4) / (kg * m^2)
Pytanie 228
Co stanie się z pojemnością izolowanego przewodnika, jeśli jego ładunek zmniejszy się do połowy (położenie przewodnika względem innych przewodników nie ulega zmianie)?<br /&rt;<br /&rt;<br /&rt;<br /&rt;<br /&rt;<br /&rt;
pozostaje bez zmian
Pytanie 229
Mamy dwa przewodniki kuliste jak pokazano na rysunku obok. Mniejszy przewodnik jest naładowany ładunkiem +q. Jeżeli przewodniki połąćzymy ze sobą, to:<br /&rt;<br /&rt;<br /&rt;<br /&rt;
przewodniki 1 i 2 mają taki sam potencjał
Pytanie 230
Przewodnik kulisty o promieniu r0 jest równomiernie naładowany ładunkiem Q. Zależność potencjału elektrycznego od odległości od środka kuli r najlepiej przedstawiono na wykresie: (V (nieskończoność) = 0)
A
Pytanie 231
Kondensator płaski został naładowany, a następnie odłączony od źródła napięcia i zanurzony w ciekłym dielektryku. W rezultacie:<br /&rt;<br /&rt;<br /&rt;<br /&rt;<br /&rt;
wzrasta pojemność, maleje natężenie pola elektrycznego między okładkami
Pytanie 232
W środku nie naładowanej powłoki przewodzącej o promieniu R umieszczono ładunek punktowy i zmierzono natężenie pola elektrycznego w kilkunastu punktach na zewnątrz oraz wewnątrz powłoki. Gdy ten ładunek przesuniemy ze środka o odległość R/2 i ponownie zmierzymy natężenie pola w tych samych punktach, to stwierdzimy, że wpływ przesunięcia ładunku na wynik pomiarów jest następujący:<br /&rt;<br /&rt;<br /&rt;<br /&rt;<br /&rt;
zmiana jest wewnątrz, ale nie ma zmiany na zewnątrz
Pytanie 233
Natężenie pola elektrycznego w płytce izolacyjnej o grubości d = 1 cm i stałej dielektrycznej (patrz rysunek), wypełniającej przestrzeń między okładkami kondensatora zasilanego napięciem U = 4kW wynosi:
4 kV/cm
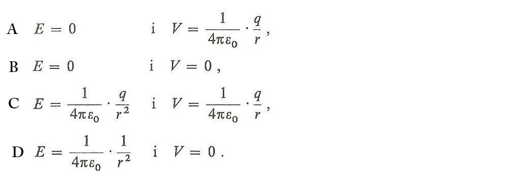
Pytanie 234
Wartość natężenia E i potencjału V pola elektrycznego w środku pełnej kuli metalowej o promieniu r, która jest naładowana ładunkiem q wynoszą: (V(nieskończoność) = 0)
A

Powiązane tematy

#fizyka #zadania