Pytania i odpowiedzi

500 pytań z fizyki

Zebrane pytania i odpowiedzi do zestawu. Zbiór pytań i zadań z fizyki. Ogromna ilość pytań testowych do rozwiązania.
Ilość pytań: 234 Rozwiązywany: 71289 razy
Pytanie 201
Aby stopić lód w temperaturze 0 stopni C przy stałym ciśnieniu dostarczono mu ciepła Q. O zmianie energii wewnętrznej w tym procesie można powiedzieć, że:<br /&rt;<br /&rt;<br /&rt;<br /&rt;<br /&rt;<br /&rt;<br /&rt;
jest większa od Q, ponieważ została wykonana praca na zmniejszenie objętości ciała
Pytanie 202
Energia wewnętrzna gazu doskonałego nie ulega zmianie podczas przemiany:<br /&rt;<br /&rt;<br /&rt;<br /&rt;<br /&rt;<br /&rt;<br /&rt;<br /&rt;
izotermicznej
Pytanie 203
Na rysunku przedstawiono trzy kolejne sposoby przejścia za stanu A do stanu C. Co można powiedzięć o zmianach energii wewnętrznej tego gazu podczas tych trzech sposobów zmiany stanu? (p - ciśnienie, V - objętość)<br /&rt;<br /&rt;<br /&rt;<br /&rt;<br /&rt;<br /&rt;<br /&rt;
zmiany energii wewnętrznej są we wszystkich trzech sposobach przejścia identyczne
Pytanie 204
Aby izobarycznie ogrzać 1 g gazu doskonałego o 1 K trzeba było dostarczyć Q1 ciepła; aby dokonać tego izochorycznie trzeba dostarczyć Q2 ciepła. Ile wyniósł przyrost energii wewnętrznej gazu w przemianie izobarycznej?<br /&rt;<br /&rt;<br /&rt;<br /&rt;<br /&rt;<br /&rt;
Q2
Pytanie 205
Średnia energia cząsteczek gazu doskonałego ulega zmianie w przemianie:<br /&rt;<br /&rt;1. izotermicznej<br /&rt;2. izobarycznej<br /&rt;3. izochorycznej<br /&rt;4. adiabatycznej<br /&rt;<br /&rt;Które odpowiedzi są poprawne<br /&rt;<br /&rt;<br /&rt;<br /&rt;<br /&rt;<br /&rt;<br /&rt;
tylko 2, 3 i 4
Pytanie 206
Praca wykonana przez gaz wyraża się wzorem W = p(V1-V2) w przemianie: (p - ciśnienie, V1 - objętość początkowa, V2 - objętość końcowa).<br /&rt;<br /&rt;<br /&rt;<br /&rt;<br /&rt;<br /&rt;
izobarycznej
Pytanie 207
Stan początkowy gazu doskonałego jest określony parametrami p1 i V1. W wyniku jakiego rozprężenia: izobarycznego czy izotermicznego do objętości V2 gaz wykona większą pracę?<br /&rt;<br /&rt;<br /&rt;<br /&rt;<br /&rt;<br /&rt;<br /&rt;
gaz wykona większą pracę przy rozprężeniu izobarycznym
Pytanie 208
W których spośród wymienionych przemian gazu doskonałego jego przyrost temperatury jest proporcjonalny do wykonywanej nad nim pracy?<br /&rt;<br /&rt;<br /&rt;<br /&rt;<br /&rt;<br /&rt;<br /&rt;<br /&rt;
adiabatycznej i izobarycznej
Pytanie 209
W przemianie izobarycznej gazu doskonałego:<br /&rt;<br /&rt;<br /&rt;<br /&rt;<br /&rt;<br /&rt;<br /&rt;<br /&rt;
ciepło dostarczone częściowo zamienia się w energię wewnętrzną gazu, częściowo na pracę wykonaną przeciwko siłom zewnętrznym
Pytanie 210
W przemianie izotermicznej gazu doskonałego<br /&rt;<br /&rt;<br /&rt;<br /&rt;<br /&rt;<br /&rt;<br /&rt;<br /&rt;
ciepło pobrane jest zużyte na pracę wykonywaną przeciwko siłom zewnętrznym
Pytanie 211
Na rysunku przedstawiono zależność energii potencjalnej cząsteczek gazu rzeczywistego (związanej z działaniem sił odpychania i przyciągania) od ich wzajemnej odległości. Jeżeli taki gaz rozpręża się w przemianie Joula - Thomsona, to:<br /&rt;<br /&rt;<br /&rt;<br /&rt;
obniża swą temperaturę dla ciśnień, przy których odległości między cząsteczkami są większe od r0
Pytanie 212
W ciągu jednego obiegu silnik Carnota wykonał pracę 3 * 10^4 J i zostało przekazane chłodnicy ciepło 7 * 10^4 J. Sprawność silnika wynosi:<br /&rt;<br /&rt;<br /&rt;<br /&rt;<br /&rt;<br /&rt;<br /&rt;<br /&rt;<br /&rt;
30 %
Pytanie 213
Sprawność idealnego silnika cieplnego (Carnota) wynosi 40%. Jeżeli różnica temperatur źródła ciepła i chłodnicy ma wartość 200 K, to temperatura chłodnicy wynosi :<br /&rt;<br /&rt;<br /&rt;<br /&rt;
300 K
Pytanie 214
Stosunek temperatury bezwzględnej źródła ciepła T1 do temperatury chłodnicy T2 idealnego odwracalnego silnika cieplnego o sprawności 25 % wynosi:<br /&rt;<br /&rt;<br /&rt;<br /&rt;<br /&rt;<br /&rt;<br /&rt;
T1 / T2 = 4/3
Pytanie 215
Z którą spośród niżej wymienionych zasad byłby sprzeczny przepływ ciepła od ciała o temperaturze niższej do ciała o temperaturze wyższej:<br /&rt;<br /&rt;<br /&rt;<br /&rt;<br /&rt;<br /&rt;
z żadną spośród wymienionych zasad
Pytanie 216
Dwa punktowe ładunki +2q i -q znajdują się w odległości 12 cm od siebie. Zależność potencjału V (punktów leżących na linii łączącej te ładunki) od odległości x mierzonej od dodatniego ładunku najlepiej przedstawiono na wykresie:
B
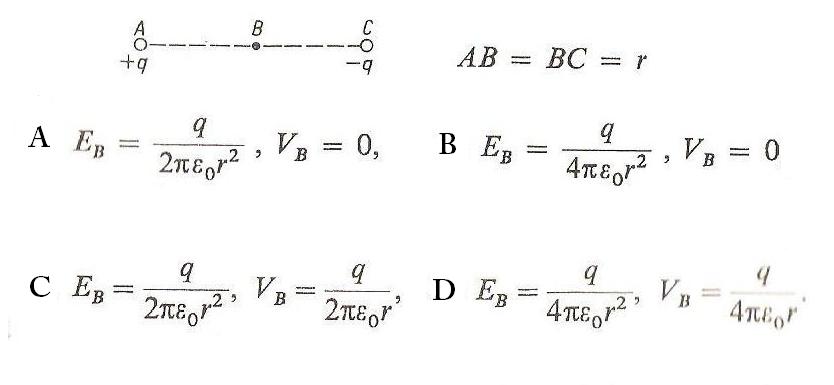
Pytanie 217
Dwa równe ładunki o przeciwnych znakach wytwarzają pole elektrostatyczne (rysunek).<br /&rt;<br /&rt;Natężenie pola EB i potencjał pola VB w punkcie mają wartości:
A
Pytanie 218
Wewnątrz pewnego obszaru potencjał V = const inne niż 0. Natężenie pola w tym obszarze:
E = 0
Pytanie 219
Dwa równe ładunki o przeciwnych znakach wytwarzają pole elektrostatyczne: (d - odległość między ładunkami)<br /&rt;<br /&rt;Najwyższy potencjał jest w punkcie:
Y
Pytanie 220
Dwa różnoimienne ładunki znajdują się w pewnej odległości od siebie (patrz rysunek).<br /&rt;<br /&rt;Wartość siły, jaką ładunek dodatni działa na ujemny jest:<br /&rt;<br /&rt;<br /&rt;<br /&rt;<br /&rt;<br /&rt;
równa wartości siły, jaką ładunek ujemny działa na dodatni

Powiązane tematy

#fizyka #zadania