Strona 1

Całki

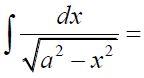
Pytanie 1
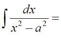
Pytanie 2
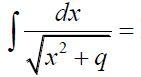
Pytanie 3
Pytanie 4
Pytanie 5
Pytanie 6
Pytanie 7
Pytanie 8
Pytanie 9
Pytanie 10
Przejdź na Memorizer+
W trybie testu zyskasz:
Brak reklam
Quiz powtórkowy - pozwoli Ci opanować pytania, których nie umiesz
Więcej pytań na stronie testu
Wybór pytań do ponownego rozwiązania
Trzy razy bardziej pojemną historię aktywności
Wykup dostęp