Pytania i odpowiedzi

Genetyka człowieka

Zebrane pytania i odpowiedzi do zestawu. Na podstawie biologii Villeego w elektronicznej formie. W sam raz dla osób przygotowujących się do olimpiady biologicznej lub do matury.
Ilość pytań: 35 Rozwiązywany: 4130 razy
Pytanie 1
Najważniejszym narzędziem bioinformatyki jest
komputer
Pytanie 2
Drzewo rodowe ukazuje
ekspresję danej cechy u członków dwóch lub większej liczby pokoleń pewnej rodziny
Pytanie 3
Projekt Mapowania Genomu Ludzkiego zajmuje się
sekwencjonowaniem całego DNA jądrowego człowieka
Pytanie 4
Nieprawidłowość, w której obserwujemy brak lub nadmiar jakiegoś chromosomu, to
aneuploidia
Pytanie 5
Osobnik z jednym dodatkowym (trzecim) chromosomem danej pary to
trisomik
Pytanie 6
Osobnik, u którego stwierdzono brak jednego chromosomu z danej pary, to
monosomik
Pytanie 7
Nierozdzielenie się chromosomów w czasie podziału komórek to
nondysjunkcja
Pytanie 8
Przeniesienie części chromosomu na inny chromosom niehomologiczny to
translokacja
Pytanie 9
Fotomikrografia wybarwionych chromosomów metafazowych danej komórki to
kariotyp
Pytanie 10
Człowiek z trisomią chromosomu 21. lub inaczej z ________ jest upośledzony umysłowo i fizycznie z charakterystyczną lekką deformacją twarzy, języka i oczu.
zespołem Downa
Pytanie 11
Dziedziczna choroba wywoływana przez brak lub nieprawidłowe działanie jakiegoś enzymu to
wrodzona wada metabolizmu
Pytanie 12
W _______ zmutowany allel koduje nieprawidłową formę hemoglobiny, która powoduje deformację erytrocytu.
anemii sierpowatej
Pytanie 13
U człowieka cierpiącego na ________ wytwarzany śluz jest zbyt gęsty, wskutek czego zatyka przewody trzustki i wątroby oraz gromadzi się w płucach.
mukowiscydozę
Pytanie 14
Podczas tego badania pobiera się odrobinę płynu owodniowego otaczającego zarodek, delikatnie przekłuwając igłą pokrywy brzuszne i ściany macicy matki. Chodzi o:
amniocentezę
Pytanie 15
W której z niżej wymienionych sytuacji pracownik poradnictwa genetycznego nie zaleciłby wykonania amniocentezy lub biopsji trofoblastu?
chęć poznania płci płodu
Pytanie 16
Mikromacierz DNA
umożliwia porównanie aktywności tysięcy genów w komórce normalnej i nieprawidłowej
Pytanie 17
Przeanalizuj przedstawione drzewa rodowe i określ, czy dane schorzenie dziedziczy się jak cecha autosomalna recesywna, autosomalna dominująca czy jak cecha sprzężona z płcią. Spróbuj określić prawdopodobne genotypy osobników na schemacie.

Legenda:
kwadrat - mężczyzna
kółko - kobieta
białe wypełnienie - brak schorzenia
czerwone wypełnienie - osobnik ze schorzeniem
autosomalna recesywna
autosomalna dominująca
sprzężona z płcią
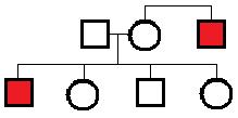
Pytanie 18
Przeanalizuj przedstawione drzewa rodowe i określ, czy dane schorzenie dziedziczy się jak cecha autosomalna recesywna, autosomalna dominująca czy jak cecha sprzężona z płcią. Spróbuj określić prawdopodobne genotypy osobników na schemacie.

Legenda:
kwadrat - mężczyzna
kółko - kobieta
białe wypełnienie - brak schorzenia
czerwone wypełnienie - osobnik ze schorzeniem
autosomalna recesywna
sprzężona z płcią
Pytanie 19
Przeanalizuj przedstawione drzewa rodowe i określ, czy dane schorzenie dziedziczy się jak cecha autosomalna recesywna, autosomalna dominująca czy jak cecha sprzężona z płcią. Spróbuj określić prawdopodobne genotypy osobników na schemacie.

Legenda:
kwadrat - mężczyzna
kółko - kobieta
białe wypełnienie - brak schorzenia
czerwone wypełnienie - osobnik ze schorzeniem
autosomalna recesywna
Pytanie 20
Zaznacz odpowiednią cechę charakterystyczną dla danego schorzenia.

Zespół Downa
aberracja chromosomowa

Powiązane tematy

#genetyka #dziedziczenie