Nauka

bioquiz

Wyświetlane są wszystkie pytania.
Przejdź na Memorizer+
W trybie nauki zyskasz:
Brak reklam
Quiz powtórkowy - pozwoli Ci opanować pytania, których nie umiesz
Więcej pytań na stronie testu
Wybór pytań do ponownego rozwiązania
Trzy razy bardziej pojemną historię aktywności
Wykup dostęp
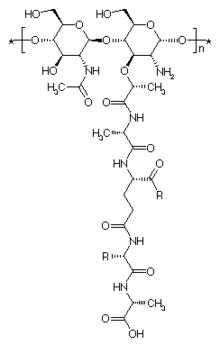
Pytanie 1
przedstawiona na ilustracji ryba Amphiprion żyje w symbiozie z ........ ???
Pytanie 2
czerwony barwnik, występujący u krasnorostów, kryptofitów i sinic to.....?
Pytanie 3
mastaks to u wrotków (Rotifera) ... ???
Pytanie 4
Przednia kończyna kreta i przednie odnóże turkucia podjadka. to przykład.......
Pytanie 5
Aparat strydulacyjny, narząd strydulacyjny (łac. organum stridentium) służy do......???
Pytanie 6
Skakunowate należą do gromady......?
Pytanie 7
numer 20 to......?
Pytanie 8
W Polsce najczęściej występuje biedronka ilu-kropkowa ????